Penanganan Covid
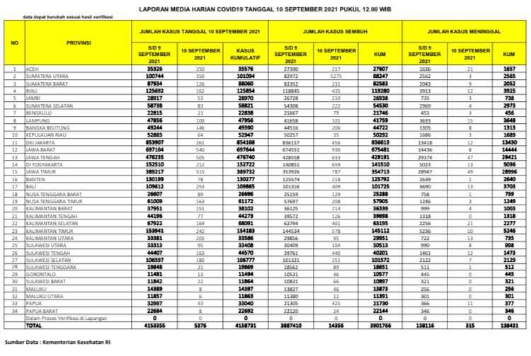
UPDATE Kasus Sembuh Covid-19 Jumat 10 September: Bertambah 14.356 Pasien, Total Ada 3.901.766 Orang
Kasus sembuh dari Covid-19 bertambah 14.356 pada Jumat (10/9/2021), sehingga hingga total kasus sembuh menjadi 3.901.766.
Tayang:
Editor:
Gryfid Talumedun
ANTARA FOTO/REUTERS/Willy Kurniawan/wsj
UPDATE Kasus Sembuh Covid-19 Jumat 10 September: Bertambah 14.356 Pasien, Total Ada 3.901.766 Orang
Lalu, ada penambahan pasien sembuh sebanyak 14.356 orang.
Total pasien yang sembuh pada hari ini menjadi 3.901.766 di seluruh Indonesia.
Kemudian, jumlah pasien Covid-19 yang meninggal dunia dalam 24 jam terakhir sebanyak 315 orang.
Berikut sebaran 5.376 kasus Covid-19 di Indonesia:
Jawa Barat: 540 kasus
Jawa Timur: 515 kasus
Jawa Tengah: 505 kasus
Sumatera Utara: 305 kasus
DKI Jakarta: 261 kasus
Bali: 253 kasus
Aceh: 250 kasus
Kalimantan timur: 242 kasus
DI Yogyakarta: 212 kasus
Kalimantan Utara: 205 kasus
KOMENTAR
:quality(30):format(webp):focal(0.5x0.5:0.5x0.5)/manado/foto/bank/originals/update-pasien-sembuh-covid-19-di-indonesia.jpg)