TAG
Soal dan jawaban 4 Mei 2020
-
Pada tayangan Belajar dari Rumah hari ini, peserta diminta untuk menjawab soal-soal pertanyaan yang diberikan.
Senin, 4 Mei 2020
-
Jawaban dan soal "tuliskan tiga hal baik yang ditunjukkan oleh teman-teman Wayan dalam membantu persiapan lomba?"
Senin, 4 Mei 2020
-
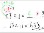
ada baiknya mempelajari lebih dulu Kunci Jawaban Soal Matematika Operasi Hitung untuk Kelas 4 5 6 SD Belajar di TVRI.
Senin, 4 Mei 2020
-
Jadwal materi untuk SD Kelas 4-6 pada Senin 4 Mei 2020 adalah Gemar Matematika bersama Pak Ridwan: Operasi Hitung Bilangan
Senin, 4 Mei 2020
-
JAWABAN Soal matematika kelas 4-6 SD, Materi belajar dari rumah edisi Senin 4 Mei 2020. Simak selengkapnya disini.
Minggu, 3 Mei 2020